ไฟฟ้าสถิต ม. 5 สรุปแบบเข้าใจง่าย และตัวอย่างการทำข้อสอบ
ไฟฟ้าสถิต เป็นบทเรียนพื้นฐานสำคัญของวิชาฟิสิกส์สำหรับน้อง ๆ ม.5 ที่เชื่อมโยงไปสู่เรื่องไฟฟ้ากระแสตรงและแม่เหล็กไฟฟ้า เนื้อหาครอบคลุมตั้งแต่ประจุไฟฟ้า กฎของคูลอมบ์ สนามไฟฟ้า ศักย์ไฟฟ้า ไปจนถึงตัวเก็บประจุ หากเข้าใจแนวคิดและสูตรสำคัญ พร้อมฝึกคำนวณอย่างเป็นขั้นตอน จะช่วยให้น้อง ๆ มองโจทย์ออก ส่งผลให้ทำข้อสอบได้เร็ว และลดความผิดพลาดในการสอบฟิสิกส์ ม.ปลายได้มากยิ่งขึ้น
Table of Content
“ไฟฟ้าสถิต” คือหนึ่งในบทเรียนวิชาฟิสิกส์ที่ทำให้น้อง ๆ ม.5 หลายคน เกิดความกังวลใจ โดยเฉพาะในส่วนที่ต้องคำนวณแรงจากกฎคูลอมบ์ หรือวาดเส้นแรงไฟฟ้ารอบประจุ ซึ่งจริง ๆ แล้วเนื้อหาเรื่องไฟฟ้าสถิตถือเป็นพื้นฐานสำคัญที่เชื่อมโยงกับบทอื่น ๆ ในฟิสิกส์ ม.ปลาย เช่น ไฟฟ้ากระแสตรง แม่เหล็กไฟฟ้า หรือแม้แต่พลังงานในวงจรไฟฟ้า หากเข้าใจบทนี้ได้ตั้งแต่ต้น ก็จะช่วยให้น้อง ๆ ทำคะแนนในวิชาฟิสิกส์ได้ดีขึ้น
สำหรับน้อง ๆ คนไหนที่อยากเข้าใจในเรื่องนี้ให้มากขึ้น บทความนี้จะมาแนะนำเนื้อหาไฟฟ้าสถิต ที่สรุปมาให้แบบเข้าใจง่าย พร้อมแนวข้อสอบ และเทคนิคที่ช่วยให้จำได้ง่ายขึ้น เหมาะกับน้อง ๆ ที่ต้องการทบทวนเนื้อหาให้ครบ จะได้นำไปต่อยอดกับการทำข้อสอบได้อย่างมั่นใจ

ไฟฟ้าสถิต คืออะไร ?
“ไฟฟ้าสถิต” (Static electricity/ Electrostatics) คือปรากฏการณ์ที่เกิดจากการที่วัตถุได้รับหรือสูญเสียอิเล็กตรอน ทำให้มีประจุไฟฟ้าสะสมอยู่บนพื้นผิววัตถุนั้น ๆ โดยประจุเหล่านี้จะอยู่นิ่ง ไม่ไหลเป็นกระแสเหมือนไฟฟ้าตามบ้านที่เราใช้กัน ส่งผลให้เกิดแรงดึงดูดหรือแรงผลักระหว่างวัตถุ เช่น การที่ไม้บรรทัดพลาสติกถูขยี้กับผมแล้วสามารถดูดเศษกระดาษชิ้นเล็ก ๆ ได้
ไฟฟ้าสถิต ม.5 เรียนอะไรบ้าง ?
สำหรับเนื้อหาเรื่องไฟฟ้าสถิต ม.5 จะแบ่งเป็นหัวข้อหลักที่น้อง ๆ ต้องทำความเข้าใจ ดังนี้
ประจุไฟฟ้า กฎการอนุรักษ์ประจุ และแรงระหว่างประจุ
ประจุไฟฟ้า มี 2 ชนิด คือ ประจุบวก (Proton) และประจุลบ (Electron)
กฎการอนุรักษ์ประจุ คือประจุไฟฟ้าที่ไม่สามารถสร้างขึ้นใหม่หรือทำให้หายไปได้ แต่สามารถถ่ายโอนจากวัตถุหนึ่งไปยังอีกวัตถุหนึ่งได้ โดยผลรวมของประจุไฟฟ้าในระบบปิดจะมีค่าคงตัวเสมอ
แรงระหว่างประจุ โดยปกติแล้วประจุที่เหมือนกันจะผลักกัน (บวก-บวก หรือ ลบ-ลบ) และประจุต่างกันจะดึงดูดกัน (บวก-ลบ)
กฎของคูลอมบ์
กฎของคูลอมบ์ คือกฎที่ใช้อธิบาย "ขนาดของแรง" ระหว่างประจุ 2 ตัว โดยแรงนี้จะเป็นสัดส่วนโดยตรงกับผลคูณของประจุ และแปรผกผันกับระยะห่างยกกำลังสอง
สนามไฟฟ้า และเส้นแรงไฟฟ้า
สนามไฟฟ้า คือบริเวณที่ประจุไฟฟ้าส่งแรงไปถึง หากเรานำประจุทดสอบบวกไปวาง ณ จุดใด แล้วมีแรงกระทำต่อประจุนั้น แสดงว่าจุดนั้นมีสนามไฟฟ้า
เส้นแรงไฟฟ้า เป็นเส้นสมมติที่บอกทิศทางของสนามไฟฟ้า โดยมีทิศพุ่งออกจากบวก พุ่งเข้าหาลบ
ศักย์ไฟฟ้า และความต่างศักย์
ศักย์ไฟฟ้า คือพลังงานศักย์ไฟฟ้าต่อหนึ่งหน่วยประจุ คำนวณเป็นปริมาณสเกลาร์ (Scalar) ไม่ต้องคิดทิศทาง
ความต่างศักย์ คือผลต่างของศักย์ไฟฟ้าระหว่างจุดสองจุด ซึ่งเป็นตัวกำหนดการเคลื่อนที่ของประจุ
ตัวนำ ฉนวน และพื้นฐานของตัวเก็บประจุ
ตัวนำ คือวัตถุที่ยอมให้ประจุเคลื่อนที่ผ่านได้ง่าย เช่น โลหะ โดยประจุจะกระจายตัวอยู่ที่ "ผิว" เท่านั้น
ฉนวน คือวัตถุที่ไม่ยอมให้ประจุผ่านได้ง่าย
ตัวเก็บประจุ คืออุปกรณ์ที่ใช้สะสมประจุไฟฟ้า ประกอบด้วยแผ่นขนานสองแผ่นคั่นด้วยฉนวน มีค่าความจุ (C) เป็นตัวบอกความสามารถในการเก็บประจุ
การประยุกต์พื้นฐาน
การประยุกต์พื้นฐาน คือการนำความรู้ไปประยุกต์ใช้ในสถานการณ์ต่าง ๆ เช่น
- การคำนวณแรงดูด-ผลัก
- การหาสนามไฟฟ้าและศักย์ไฟฟ้า
- การคำนวณค่าพื้นฐานของตัวเก็บประจุ
การคำนวณที่เกี่ยวข้องกับไฟฟ้าสถิตที่ต้องจำและเข้าใจ
สำหรับการทำข้อสอบไฟฟ้าสถิต สูตรสำคัญที่น้อง ๆ ม.5 มักใช้บ่อย มีดังนี้
ประจุไฟฟ้า (Q)

กฎของคูลอมบ์ (หาแรง F)

สนามไฟฟ้า (E)
ศักย์ไฟฟ้า (V)

พลังงานไฟฟ้าและงาน (W)

.jpg)
ตัวอย่างข้อสอบไฟฟ้าสถิต ม.5 พร้อมเฉลยแบบเข้าใจง่าย
เพื่อให้น้อง ๆ เข้าใจเกี่ยวกับวิธีการนำสูตรไปประยุกต์ใช้มากขึ้น ลองไปดูตัวอย่างข้อสอบ พร้อมเฉลย ที่น้อง ๆ สามารถนำไปฝึกลองทำกัน
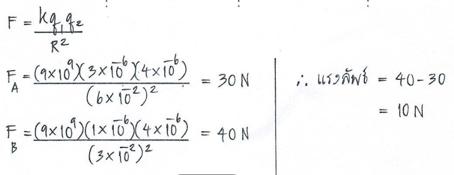
1. จุดประจุ +3μC, -1 μC และ +4 μC วางเรียงกันเป็นแนวเส้นตรง โดยอยู่ห่างกันช่วงละ 3 เซนติเมตร จงหาแรงกระทำระหว่างประจุที่จุดประจุ +4 μC


คำตอบ 10 N
2. จุดประจุ 2 จุด ขนาด 4 ไมโครคูลอมบ์ และ -6 ไมโครคูลอมบ์ วางห่างกันเป็นระยะ d เซนติเมตร จะเกิดแรงกระทำ ระหว่างประจุ 12 นิวตัน ถ้านำไปวางห่างกัน d/2 เซนติเมตร จะเกิดแรงกระทำระหว่างประจุทั้งสองขนาดเท่าไร ?


คำตอบ 48 นิวตัน
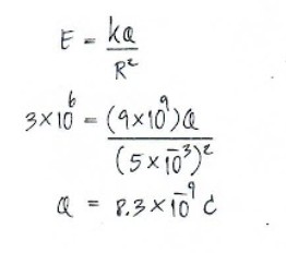
3. ทรงกลมโลหะรัศมี 5 มิลลิเมตร สามารถรับประจุในอากาศได้ปริมาณสูงสุดเท่าใด ถ้าอากาศแตกตัวเป็นไอออน เมื่อสนามไฟฟ้าในอากาศมีขนาดสูง 3 x 106 โวลต์/เมตร

คำตอบ 8.3 x 10-9 C
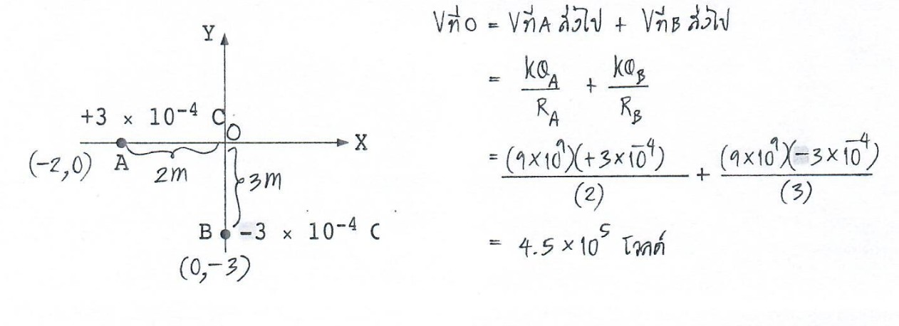
4. วางประจุไฟฟ้า 3 x 10-4 คูลอมบ์ที่ตำแหน่ง X = -2 เมตร, Y = 0 เมตร และประจุลบขนาดเท่ากันที่ตำแหน่ง X = 0 เมตร และ Y = -3 เมตร ศักย์ไฟฟ้าที่ตำแหน่ง จุดกำเนิด (0,0) จะเป็นเท่าไร ?

คำตอบ 4.5 x 105 C
จากเนื้อหาเรื่องไฟฟ้าสถิต ม.5 จะเห็นได้ว่าแม้จะเป็นบทเรียนที่หลายคนมองว่ายาก แต่หากเข้าใจหลักการตั้งแต่เรื่องประจุไฟฟ้า กฎของคูลอมบ์ สนามไฟฟ้า ศักย์ไฟฟ้า ไปจนถึงตัวเก็บประจุ และฝึกคำนวณอย่างเป็นระบบ จะช่วยให้น้อง ๆ มองโจทย์ออก แยกสูตรได้ถูกต้อง และทำข้อสอบได้เร็วขึ้นอย่างชัดเจน โดยเฉพาะข้อสอบฟิสิกส์ ม.ปลาย ที่มักออกทั้งเชิงแนวคิดและเชิงคำนวณ การฝึกคิดอย่างมีขั้นตอนและเข้าใจที่มาของสูตร จะช่วยลดความสับสนและเพิ่มความมั่นใจในห้องสอบได้มากขึ้น
สำหรับน้อง ๆ ที่สนใจเสริมความเข้าใจในเรื่องไฟฟ้าสถิต และสามารถนำสูตรต่าง ๆ ไปใช้ได้อย่างแม่นยำ สามารถลงเรียนคอร์สติวฟิสิกส์ ของ Applied Physics ได้เลย ที่สำคัญยังจะได้เรียนรู้เทคนิคการทำข้อสอบฟิสิกส์ ม. 5 อีกมากมาย เพื่อให้สามารถนำไปใช้ในการสอบได้อย่างมั่นใจ
สอบถามรายละเอียดคอร์สเรียนเพิ่มเติมได้ที่
โทร: 02-3060867, 02-3060868, 02-3060869, 085-4925599
LINE: @appliedphysics (มี @ ด้วยนะ)
คำถามที่พบบ่อยเกี่ยวกับข้อสอบไฟฟ้าสถิต ม.5
Q: ไฟฟ้าสถิต ม.5 ยากหรือไม่ ?
A: เนื้อหาเรื่องไฟฟ้าสถิตอาจดูยากในช่วงแรก เพราะมีทั้งแนวคิดเชิงนามธรรมและการคำนวณ แต่หากเข้าใจพื้นฐานเรื่องประจุไฟฟ้า แรงดูด–ผลัก และความหมายของสนามไฟฟ้า จะถือเป็นบทที่สามารถทำคะแนนได้ง่ายเมื่อฝึกทำโจทย์อย่างสม่ำเสมอ
Q: กฎของคูลอมบ์ ออกสอบบ่อยแค่ไหน ?
A: กฎของคูลอมบ์เป็นหัวใจของการเรียนเรื่องไฟฟ้าสถิต ม.5 และออกสอบบ่อยมาก ทั้งในรูปแบบการคำนวณตรง และโจทย์เปรียบเทียบแรงเมื่อเปลี่ยนระยะหรือขนาดประจุ
Q: จำเป็นจะต้องจำสูตรเรื่องไฟฟ้าสถิตทั้งหมดหรือไม่ ?
A: ไม่จำเป็นต้องจำทุกสูตร แต่ควรจำสูตรหลัก เช่น กฎของคูลอมบ์ สนามไฟฟ้า และศักย์ไฟฟ้า พร้อมเข้าใจที่มาของสูตร จะช่วยลดความสับสนเวลาเจอโจทย์ประยุกต์
Q: เส้นแรงไฟฟ้าควรวาดอย่างไรไม่ให้ผิด ?
A: เส้นแรงไฟฟ้าต้องพุ่งออกจากประจุบวก และพุ่งเข้าหาประจุลบ เส้นไม่ตัดกัน และความหนาแน่นของเส้นแสดงความแรงของสนามไฟฟ้า
