สูตรการเคลื่อนที่แนวตรง 4 สูตรหลัก สรุปครบจบในที่เดียว
Key Takeaway
หัวใจสำคัญของการเรียนเรื่องการเคลื่อนที่แนวตรง คือการแยกแยะปริมาณสเกลาร์และเวกเตอร์ให้แม่นยำ เพื่อป้องกันความผิดพลาดในการกำหนดเครื่องหมายทิศทางขณะคำนวณ เมื่อน้อง ๆ วิเคราะห์โจทย์ได้ว่าเป็นการเคลื่อนที่ด้วยความเร็วคงที่หรือความเร่งคงที่ การเลือกใช้ 4 สูตรหลักฉบับ Applied Physics ควบคู่กับการตีความข้อมูลจากกราฟ จะช่วยให้การแก้โจทย์ที่ซับซ้อนกลายเป็นเรื่องง่ายและรวดเร็วยิ่งขึ้น
Table of Content
- การเคลื่อนที่แนวตรงคืออะไร ?
- ปริมาณสำคัญในการเคลื่อนที่แนวตรง
- ประเภทของการเคลื่อนที่แนวตรง
- 4 สูตรหลักที่ต้องจำให้แม่น (ฉบับ Applied Physics)
- กราฟการเคลื่อนที่แนวตรง ออกสอบบ่อยมาก !
- ตัวอย่างโจทย์การเคลื่อนที่แนวตรง พร้อมเฉลยละเอียด
- คำถามที่พบบ่อยเกี่ยวกับการเคลื่อนที่แนวตรง (FAQs)

“การเคลื่อนที่แนวตรง” ถือเป็นเนื้อหาฟิสิกส์พื้นฐานบทแรก ๆ ที่นักเรียนระดับมัธยมปลายจะได้เริ่มต้นเรียนในรายวิชาฟิสิกส์กลศาสตร์ เพราะแนวคิดทั้งหมดในบทนี้จะถูกนำไปต่อยอดกับเรื่องการเคลื่อนที่แบบสองมิติ การเคลื่อนที่แบบวงกลม ไปจนถึงกฎของนิวตันที่หลายคนน่าจะเคยได้ยินชื่อผ่านหูกันมาบ้าง
สำหรับใครที่ยังรู้สึกสับสนกับเนื้อหาในห้องเรียน หรือต้องการจัดระเบียบความคิดใหม่ให้เห็นภาพชัดเจนและเป็นระบบมากขึ้น การอ่านสรุปฟิสิกส์เรื่องการเคลื่อนที่แนวตรงและหมั่นทบทวนบ่อย ๆ จะช่วยให้จดจำได้มากขึ้น แต่ถ้าใครต้องการเข้าใจเนื้อหาในบทนี้ตั้งแต่พื้นฐาน การเรียนเสริมคอร์สฟิสิกส์ ม.ปลายกับ Applied Physics ก็เป็นอีกหนึ่งตัวช่วย เพราะนอกจากจะทำให้เราแม่นในเนื้อหา คอร์สเรียนนี้ยังจะได้เรียนรู้เทคนิคการวิเคราะห์โจทย์ที่ช่วยเพิ่มความมั่นใจให้กับน้อง ๆ พร้อมรับมือกับทุกสนามสอบได้จริง
การเคลื่อนที่แนวตรงคืออะไร ?
การเคลื่อนที่แนวตรง (Linear Motion หรือ Rectilinear Motion) คือรูปแบบการเคลื่อนที่ที่พื้นฐานที่สุด โดยวัตถุจะเคลื่อนที่ไปตามเส้นทางที่เป็นเส้นตรงเพียงแนวเดียวเท่านั้น ไม่มีการเลี้ยวหรือเปลี่ยนทิศทางในลักษณะวิถีโค้งมาปะปน ซึ่งมักจะพิจารณาใน 2 มิติหลัก คือ
- การเคลื่อนที่ในแนวราบ : เช่น รถยนต์ที่วิ่งบนถนนทางตรงยาว ๆ หรือนักวิ่งที่กำลังมุ่งหน้าสู่เส้นชัยในเลนของตนเอง
- การเคลื่อนที่ในแนวดิ่ง : เป็นการเคลื่อนที่ภายใต้อิทธิพลของแรงโน้มถ่วง เช่น การปล่อยวัตถุให้ตกแบบเสรี (Free Fall) หรือการโยนสิ่งของขึ้นไปตรง ๆ ในอากาศ
ปริมาณสำคัญในการเคลื่อนที่แนวตรง
ก่อนเริ่มใช้สูตรการเคลื่อนที่แนวตรง สิ่งสำคัญคือการจำแนกปริมาณทางฟิสิกส์ให้ถูกต้อง เนื่องจากโจทย์มักอาศัยการตีความนิยามก่อนเริ่มคำนวณเสมอ โดยมีปริมาณพื้นฐานที่ต้องทำความเข้าใจดังนี้
ตำแหน่ง (Position)
จุดอ้างอิงที่ใช้ระบุว่าวัตถุตั้งอยู่ที่พิกัดใดในระบบ ซึ่งการระบุตำแหน่งที่ชัดเจนจะช่วยให้เราสามารถคำนวณหาทั้งระยะห่างและทิศทางเมื่อเทียบกับจุดเริ่มต้นหรือจุดอ้างอิงที่กำหนดไว้ได้
ระยะทาง (Distance) VS การกระจัด (Displacement)
แม้ในชีวิตประจำวันสองคำนี้อาจดูคล้ายกัน แต่ในทางฟิสิกส์นั้นมีความแตกต่างกันอย่างสิ้นเชิง
- ระยะทาง : คือความยาวตามเส้นทางที่วัตถุเคลื่อนที่ไปจริงทั้งหมด ไม่ว่าจะคดเคี้ยวอย่างไรก็นับรวมหมด จัดเป็นปริมาณสเกลาร์ (บอกแค่ขนาด)
- การกระจัด : คือระยะที่วัดเป็นเส้นตรงจากจุดเริ่มต้นพุ่งตรงไปยังจุดสุดท้ายเท่านั้น จัดเป็นปริมาณเวกเตอร์ (บอกทั้งขนาดและทิศทาง) และเป็นตัวแปรสำคัญที่ถูกนำไปใช้ในชุดสูตรคำนวณการเคลื่อนที่
อัตราเร็ว (Speed) vs ความเร็ว (Velocity)
ความแตกต่างระหว่างระยะทางและการกระจัด ส่งผลโดยตรงต่อการวัดความไวในการเคลื่อนที่
- อัตราเร็ว : คำนวณจากการนำระยะทางทั้งหมดมาหารด้วยเวลาที่ใช้ (เป็นสเกลาร์)
- ความเร็ว : คำนวณจากการนำการกระจัดมาหารด้วยเวลา ซึ่งความเร็วจะต้องระบุทิศทางพ่วงมาด้วยเสมอ ในการคำนวณจึงต้องกำหนดเครื่องหมาย เช่น ทิศทางเดียวกับความเร็วต้นเป็นบวก (+) และทิศตรงข้ามเป็นลบ (-)
ความเร่ง (Acceleration)
คือปริมาณที่บอกว่า "ความเร็วของวัตถุเปลี่ยนไปอย่างไรในหนึ่งหน่วยเวลา"
- หากวัตถุเคลื่อนที่เร็วขึ้น ความเร่งจะมีค่าเป็นบวก (+)
- หากวัตถุเคลื่อนที่ช้าลงหรือมีการเหยียบเบรก ความเร่งจะมีค่าเป็นลบ (−) ซึ่งในทางภาษาเรามักเรียกว่า "ความหน่วง"
ประเภทของการเคลื่อนที่แนวตรง
ในการทำโจทย์ น้อง ๆ ต้องพิจารณาก่อนว่าวัตถุในโจทย์กำลังเคลื่อนที่ในลักษณะใด เพื่อเลือกใช้สมการได้อย่างถูกต้อง
การเคลื่อนที่ด้วยความเร็วคงที่ (a = 0)
ในกรณีนี้ วัตถุจะรักษาความเร็วให้เท่าเดิมสม่ำเสมอตลอดเวลา ไม่มีการเร่งหรือการเบรกเกิดขึ้น เราจะใช้สมการเดียวในการหาคำตอบคือ
s = vt
การเคลื่อนที่ด้วยความเร่งคงที่ (a ≠ 0)
กรณีที่ความเร็วของวัตถุมีการเปลี่ยนแปลงอย่างสม่ำเสมอในทุก ๆ วินาที เช่น วัตถุที่ตกลงมาจากที่สูงด้วยความเร่งโน้มถ่วง (g) หรือรถยนต์ที่กำลังออกตัวจากสี่แยกไฟแดง ซึ่งสถานการณ์นี้จะต้องใช้ชุดสูตร 4 สูตรหลักเข้ามาช่วยจัดการ
4 สูตรการเคลื่อนที่แนวตรงที่ต้องจำให้แม่น (ฉบับ Applied Physics)
เพื่อให้การทำโจทย์เป็นไปอย่างรวดเร็วและแม่นยำ Applied Physics จะใช้ 4 สูตรหลัก ที่ครอบคลุมการหาคำตอบทุกรูปแบบ โดยเลือกใช้ตามตัวแปรที่โจทย์ระบุมาให้ ดังนี้
ข้อควรระวัง : การใช้สูตรเหล่านี้ต้องกำหนด "ทิศทาง" ให้ชัดเจน โดยมักให้ทิศของความเร็วต้น (u) เป็นบวก หากตัวแปรอื่นมีทิศตรงข้ามกับ u จะต้องแทนค่าเป็นลบเสมอ
กราฟการเคลื่อนที่แนวตรง ออกสอบบ่อยมาก !
บ่อยครั้งที่โจทย์ไม่ได้ระบุตัวเลขมาให้เราตรง ๆ แต่จะมาในรูปแบบของกราฟเพื่อทดสอบความเข้าใจ ซึ่งน้อง ๆ สามารถถอดรหัสข้อมูลสำคัญออกมาได้ผ่านการพิจารณาค่า "ความชัน" และ "พื้นที่ใต้กราฟ" ดังนี้
กราฟตำแหน่ง - เวลา (s–t)
กราฟนี้แสดงความสัมพันธ์ระหว่างการเปลี่ยนตำแหน่งของวัตถุกับเวลาที่ผ่านไป เพื่อให้เราเห็นว่าในแต่ละวินาที วัตถุขยับไปได้ไกลแค่ไหน
- ความชัน (Slope) คือ ความเร็ว (v) : หากเส้นกราฟมีความชันมาก (กราฟชันขึ้น) หมายถึงวัตถุมีความเร็วสูง แต่ถ้ากราฟขนานกับแกนนอน (ไม่มีความชัน) แสดงว่าวัตถุหยุดนิ่งอยู่กับที่
- ลักษณะกราฟ : ถ้ากราฟเป็นเส้นตรง ความเร็วจะคงที่ แต่ถ้ากราฟเป็นเส้นโค้ง แสดงว่าความเร็วมีการเปลี่ยนแปลง (มีความเร่งเกิดขึ้น)
กราฟความเร็ว - เวลา (v–t)
นี่คือกราฟที่ "ให้ข้อมูลครบถ้วนที่สุด" และปรากฏในข้อสอบบ่อยที่สุด เพราะเราสามารถหาข้อมูลสำคัญได้ถึง 2 อย่างในภาพเดียว
- ความชัน (Slope) คือ ความเร่ง (a) : หากกราฟชันขึ้น แสดงว่าวัตถุเคลื่อนที่เร็วขึ้น (ความเร่งเป็นบวก) หากกราฟชันลง แสดงว่าวัตถุเบรกหรือช้าลง (ความเร่งเป็นลบ)
- พื้นที่ใต้กราฟ (Area) คือ การกระจัด (s) : การคำนวณหาพื้นที่ระหว่างเส้นกราฟกับแกนนอนจะทำให้เราทราบระยะทางการกระจัดทั้งหมดที่วัตถุเคลื่อนที่ได้ในช่วงเวลานั้น ๆ
กราฟความเร่ง - เวลา (a–t)
กราฟนี้ใช้เพื่อดูความเร่งของวัตถุในแต่ละช่วงเวลา ซึ่งข้อมูลที่เราสามารถนำไปใช้ต่อได้จะมาจากพื้นที่ใต้กราฟเป็นหลัก
- พื้นที่ใต้กราฟ คือ ความเร็วที่เปลี่ยนไป (v - u) : พื้นที่ใต้กราฟไม่ได้บอกความเร็วปลายตรง ๆ แต่จะบอกว่าความเร็วเพิ่มขึ้นหรือลดลงจากจุดเริ่มต้นเท่าใด
- ลักษณะกราฟ : ในระดับชั้นมัธยมปลาย ส่วนใหญ่จะเน้นพิจารณากราฟที่มีความเร่งคงที่ เส้นกราฟจึงมักจะเป็นเส้นตรงขนานกับแกนนอน
ตัวอย่างโจทย์การเคลื่อนที่แนวตรง พร้อมเฉลยละเอียด
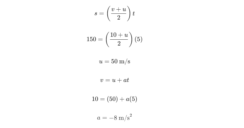
ตัวอย่างที่ 1
วัตถุเคลื่อนที่ในแนวตรงไปข้างหน้าเป็นเวลา 5 วินาที ได้ระยะทาง 150 เมตร และขณะนั้นมีอัตราเร็วเท่ากับ 10 เมตรต่อวินาที โดยตลอดช่วงการเคลื่อนที่นี้วัตถุเคลื่อนที่ช้าลงด้วยความเร่งคงตัว
อยากทราบว่าขนาดความเร่งของวัตถุมีค่ากี่เมตรต่อวินาที
- 2.5
- 4
- 5
- 8
- 12
วิธีทำ แทนค่าในสูตรเพื่อหาความเร็วต้น (u) และความเร่ง (a) ตามลำดับ
สรุปคำตอบ: ขนาดของความเร่งเท่ากับ 8 เมตรต่อวินาที (ตอบข้อ 4)
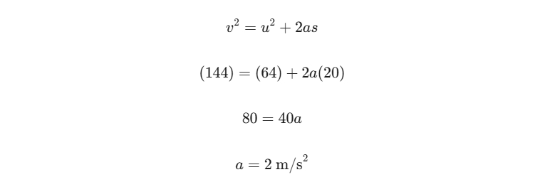
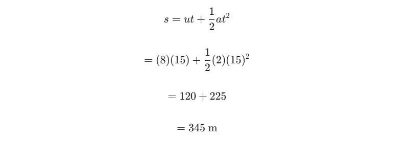
ตัวอย่างที่ 2
วัตถุหนึ่งเคลื่อนที่แนวตรงด้วยความเร่งคงตัวซึ่งมีทิศทางเดียวกับความเร็ว กราฟแสดงความสัมพันธ์ระหว่างขนาดของความเร็วกำลังสองและตำแหน่งของวัตถุเป็นดังนี้
หลังจากวัตถุเคลื่อนที่ผ่านตำแหน่ง x = 0 m เป็นเวลา 15 วินาที ขนาดของการกระจัดของวัตถุนั้นมีค่ากี่เมตร
- 125
- 250
- 345
- 480
- 600
วิธีทำ แทนค่าข้อมูลจากกราฟเพื่อหาความเร่ง (a) แล้วจึงนำไปแทนค่าหาการกระจัด (s) จากกราฟ
คำนวณหาการกระจัด
สรุปคำตอบ: ขนาดของการกระจัดเท่ากับ 345 เมตร (ตอบข้อ 3)
การเคลื่อนที่แนวตรงเป็นบทพื้นฐานที่นักเรียนฟิสิกส์ ม.ปลาย ทุกคนต้องเข้าใจให้ลึก เพื่อใช้ต่อยอดไปสู่บทกลศาสตร์ทั้งหมด หากพื้นฐานบทนี้ไม่แน่น มักจะพลาดคะแนนในข้อสอบได้โดยไม่รู้ตัว
สำหรับน้อง ๆ คนใดที่ต้องการเรียนฟิสิกส์อย่างเป็นระบบ เข้าใจจากแนวคิด ไม่เน้นท่องจำ และสามารถนำไปใช้แก้โจทย์ได้จริง ที่ Applied Physics มีคอร์สฟิสิกส์ ม.ปลายที่เริ่มตั้งแต่การปูพื้นฐานให้เข้าใจง่าย ไล่เรียงสูตรอย่างมีเหตุผล พร้อมเทคนิควิเคราะห์โจทย์และตัดตัวเลือกที่ใช้ได้จริงในข้อสอบ A-Level และสอบเข้ามหาวิทยาลัย ไม่ว่าจะเป็นคอร์สเรียนสดหรือคอร์สออนไลน์ น้อง ๆ จะได้เรียนกับทีมอาจารย์ผู้เชี่ยวชาญด้านฟิสิกส์ระดับมัธยมศึกษา เหมาะสำหรับทั้งผู้ที่ต้องการเสริมพื้นฐาน และผู้ที่ตั้งเป้าคะแนนสูงเพื่อคณะในฝัน
สามารถสอบถามรายละเอียดคอร์สเรียนเพิ่มเติมได้ที่
- โทร: 02-3060867, 02-3060868, 02-3060869, 085-4925599
- LINE: @appliedphysics (มี @ ด้วยนะ)

คำถามที่พบบ่อยเกี่ยวกับโจทย์การเคลื่อนที่แนวตรง (FAQs)
Q: ในการคำนวณแนวดิ่ง เราควรใช้ค่า g เป็นบวกหรือลบ ?
A: ให้ยึดทิศทางของความเร็วต้น (u) เป็นหลักเสมอ หากวัตถุถูกโยนขึ้นแต่ g มีทิศลง (ทิศตรงข้ามกับ u) ให้แทนค่า g เป็นลบ แต่หากวัตถุถูกปล่อยลงมาทิศเดียวกับ g ให้แทนค่าเป็นบวก
Q: ถ้ากราฟความเร็ว-เวลา (v-t) อยู่ใต้แกนนอน (ติดลบ) พื้นที่ใต้กราฟจะหมายถึงอะไร ?
A: พื้นที่ใต้กราฟที่อยู่ต่ำกว่าแกนนอนหมายถึงการกระจัดที่มีทิศทางตรงกันข้ามกับตอนเริ่มต้น (ทิศลบ) หากต้องการหา "การกระจัดรวม" ให้นำพื้นที่ด้านบนมาลบด้วยพื้นที่ด้านล่าง แต่หากโจทย์ถามหา "ระยะทางรวม" ให้นำขนาดพื้นที่ทั้งสองส่วนมาบวกกันโดยไม่สนใจเครื่องหมาย
Q: ปริมาณสเกลาร์และเวกเตอร์ มีผลต่อการทำโจทย์บทนี้อย่างไร ?
A: มีผลอย่างมากในการเลือกใช้ตัวเลข หากโจทย์ถามหาอัตราเร็วเฉลี่ย ต้องใช้ระยะทาง (สเกลาร์) แต่ถ้าถามหาความเร็วเฉลี่ย ต้องใช้การกระจัด (เวกเตอร์) การคำนวณเวกเตอร์ต้องระวังเรื่องเครื่องหมาย + และ - อย่างเคร่งครัด เพราะทิศทางที่ผิดเพียงนิดเดียวจะทำให้คำตอบผิดทันที
